Geneticky modifikovaná petunie (Petunia hybrida) neustále vyzařující světlo díky genům z hub se dostává do Amerických obchodů. Biotechnologická firma zahájila předprodej slabě zeleně svítících rostlin. Začátkem dubna hodlá rozeslat 50 000 kusů rostlin.

Na evropský trh se rostlina jen tak nedostane vzhledem k přísným regulacím geneticky modifikovaných organismů. Ty se volně prodávat v Evropské unii nesmí. Fluorescence rostlin se využívá i v Evropě v rámci výzkumu rostlin. Ani odsud však nesmí uniknout jediné semínko. Navíc rostliny využívané ve výzkumu většinou září pouze pod UV světlem a značeny jsou takto většinou vnitřní struktury rostliny, které zajímají vědce.

Již v roce 1986 se podařilo vědcům přenést gen pro syntézu luciferázy - enzymu, který si vyrábí samečci světlušek, aby na svou lucernu v zadečku nalákali samičky. Tehdy šlo pouze o vědecký experiment zkoumající základy exprese daného genu (projevu genu), ale kdo by se nezamiloval do živé lampičky jako vystřižené z planety Pandora.

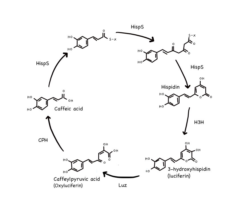
Takové rostliny však stále svítily příliš slabě, než aby byly atraktivní pro lidi, kteří by byli ochotni za ni dát stovky korun. Vědci se tak vydali trošku jinou cestou. Vypůjčili si skupinu genů z bioluminiscenční houby Neonothopanus nambi. Enzymy, které vznikly pomocí těchto genů přeměňují kyselinu kávovou (běžně přítomnou v rostlinách) na luciferin - látku vyzařující světlo a následně ho zpět recyklovat na kyselinu kávovou a tak neustále dokola. Díky tomuto efektu může rostlina svítit stále.
Troška té biochemie pro chemické nadšence (ostatní mohou přeskočit)

- Nejprve je kyselina kávová modifikována enzymem hispidinsyntázou za vzniku nového uhlíkového kruhu až po vznik Hispidinu.
- Přidáním vody dojde, za pomocí dalšího enzymu H3H, k hydroxylaci (přidání -OH skupiny). Tím vznikne molekula zvaná 3-hydroxyhispidin, který již známe pod názvem luciferin.
- Okamžitě po tom zahájí svou činnost enzym Luz (luciferáza), který přidá molekule kyslík (což vede ke změně umístění elektronů v molekule) a tím vytvoří vysoce nestabilní sloučeninu s velkou energií v nově vzniklém uhlíkovém kruhu.
- Nestabilní molekula se začne samovolně rozkládat na oxyluciferin a jako vedlejší produkt se vyzáří přebytečná energie ve formě zeleného světla.
- Enzym CPH pak vše vrátí opět do původního stavu rozštěpením oxyluciferinu a vytvořením molekuly kyseliny kávové a celý proces se může znovu opakovat.

Ozdoba do ložnice
Nicméně nepočítejte s tím, že byste si rostlinkou svítili na čtení. Záře z takové rostlinky by neměla bránit v klidném spánku a vědci ji přirovnávají k intenzitě svitu měsíce během úplňku. Což teda mě osobně příliš neuklidnilo, protože poslední noc, kdy mi úplněk svítil střešním oknem přímo do obličeje jsem moc dobře usnout nemohl.
A kolik taková sranda stojí? V USA se bude prodávat za $29, což je při dnešním kurzu cca 680 Kč, takže mně než kytice řezaných růží, které vám za pět dní uvadnou.
Je GMO nebezpečný problém?
Geneticky modifikované organismy (GMO) s sebou nesou velké stigma. Za tím však stojí spíše neporozumění mechanismům genetických modifikací. Desítky tisíc let šlechtíme plodiny i živočichy kolem nás. Vybíráme jedince s geny, které se nám líbí a ty mezi sebou křížíme (často příbuzensky a za vzniku mnoha zdravotních či jiných komplikací).
Genetická modifikace umožňuje udělat stejný proces během pár let a to prakticky bez vážnějších komplikací a nechtěných nežádoucích účinků. Přenášíme totiž konkrétní geny a eliminujeme tím riziko projevu recesivních genů u příbuzenského křížení.
GMO nám mohou sloužit nejen k okrase, ale můžeme tak vytvářet organismy, které jsou odolnější vůči škůdcům (nemuseli bychom používat insekticidy apod.), mohou mít vyšší výnosy a k uživení více lidí nám bude stačit menší zemědělská půda, mohou obsahovat vitaminy, které dnes neobsahují. Výčtem benefitů bychom mohli pokračovat roky.
Lidé se často obávají, že upravené geny nějak ublíží lidem. Nicméně DNA rostlin i živočichů denně jíme ve své potravě a nic to s námi nedělá. V našem žaludku dojde k rozložení DNA na základní prvky a z těch si potom stavíme vlastní DNA pro nové buňky. Z původní DNA se do genetické informace naší buňky nic nedostane.
Mnohem nebezpečnější jsou pro nás viry. Ty dokáží přímo svou DNA včleňovat do té naši a v průběhu evoluce jsme si tak nasbírali nejeden zbytečný gen.
Zdroje k hlubšímu bádání
Plants with genetically encoded autoluminescence
Transient and Stable Expression of the Firefly Luciferase Gene in Plant Cells and Transgenic Plants

